PDF

Otsikkokuva

Osittaisintegroinnin ihmeitä: Wallisin ja Stirlingin kaavat

Matti Lehtinen
Dosentti
Matematiikan laitos, Helsingin yliopisto


Solmun keskustelupalstan lukija kiinnitti huomiota Stirlingin kaavaan. Sehän on kaava, jota käytetään, kun halutaan tietää luvun $n!$ arvo isohkoilla $n$:n arvoilla. Kun $n$ on kohtuullinen, niin $n!$ on valtava: oma taskulaskimeni suostuu kertomaan minulle, mitä on 69!, mutta 70! panee sen solmuun. Mutta Stirlingin kaavan perusteella tiedän, että

\begin{displaymath}
n!\approx n^ne^{-n}\sqrt{2\pi n}.
\end{displaymath}

Siis
\begin{align*}
\ln(70!)&\approx 70{,}5\cdot \ln(70)-70+0{,}5\cdot \ln(2\pi)\\
&\approx 230{,}4378
\end{align*}
ja kun siirrytään kymmenkantaisiin logaritmeihin, nähdään, että

\begin{displaymath}
\log(70!)\approx \frac{230{,}4378}{\ln(10)}\approx 100{,}078.
\end{displaymath}

Siis $70!\approx 10^{0,078}\cdot 10^{100}\approx 1{,}2\cdot 10^{100}$.

Stirlingin kaavaan sisältyvä likimääräisyys johtuu siitä, että kaava on oikeastaan alkupää luvun $\ln(n!)$ sarjakehitelmästä
\begin{align*}%%\label{kaava1}
\ln(n!)&=\left(n+\frac{1}{2}\right)\ln(n)-n+\ln(2...
...1}\\
&\qquad+\frac{B_{2k}}{(2k-1)\cdot (2k)\cdot n^{2k-1}}+\cdots.
\end{align*}
Tässä $B_2$, $B_4$, jne. ovat Bernoullin lukuja. Nämä puolestaan määrittelee sarja

\begin{displaymath}
\frac{x}{e^x-1}=\sum_{k=0}^{\infty}\frac{B_k}{k!}x^k.
\end{displaymath}

Erityisesti $B_2=\dfrac{1}{6}$ ja $B_4=-\dfrac{1}{30}$. Hiukan tarkempi Stirlingin kaava on tämän perusteella

\begin{displaymath}
n!\approx n^ne^{-n}\sqrt{2\pi n}e^{1/(12n)}.
\end{displaymath}

Lisätermi vaikuttaisi edellä lasketussa $\ln(70!)$:n arvossa vasta kolmanteen desimaaliin, joten tarkennus ei ole kovin suuri.

Tilanteet, joissa Stirlingin kaavan antamaa informaatiota tarvitaan, ovat usein kombinatorisia. Koska päämielenkiinto tällöin kohdistuu jonkin kertomatermin suuruusluokkaan kyseisessä tilanteessa, ei kaavan perustelujen pohtiminen juuri ole päällimmäisenä huolen aiheena. Niinpä Stirlingin kaava on hyvä esimerkki matemaattisesta tuloksesta, johon uskotaan, mutta jonka perustelua harva lienee kunnolla käynyt läpi. Mutta kun matematiikassa ei oikeastaan pitäisi olla uskon asioita ollenkaan, niin on paikallaan antaa kaavalle jonkinmoinen perustelu.

Emme lähde johtamaan sarjaa (1) vaan tyydymme hiukan lievempään muotoon

\begin{displaymath}
\lim_{n\to\infty}\frac{n!e^n}{n^n\sqrt n}=\sqrt{2\pi}.\tag{2}
\end{displaymath}

Raja-arvon (2) johto voidaan perustaa Wallisin kaavaan, joka antaa yllättävän kertolaskuesityksen ympyrään liittyvälle luonnonvakiolle $\pi$. Wallisin kaava kertoo, että $\pi$ on sellaisen lukujonon raja-arvo, jonka yleinen termi on

\begin{displaymath}
\frac{1}{n}\cdot \frac{2\cdot 2\cdot 4\cdot 4\cdots 2n\cdot
2n}{1\cdot 1\cdot 3\cdot 3\cdots (2n-1)\cdot (2n-1)}.
\end{displaymath}

Wallisin kaavan johto ei ole vaikea: olennaisin idea on sinifunktion potenssien käyttäytyminen osittaisintegroinnissa. Stirlingin kaavaan siirryttäessä joudutaan vetoamaan tavalliseen potenssisarjan ominaisuuteen ja sarjateorian ensi alkeisiin kuuluvaan Leibnizin vuorottelevia sarjoja koskevaan lauseeseen.

Stirling ja Wallis

James Stirling syntyi v. 1692 Skotlannissa, lähellä Stirling-nimistä kaupunkia, jonka löytää kartasta Glasgow'n koillispuolelta. Stirlingin nuoruusvaiheet ovat jossain määrin häipyneet unohduksiin. Tiedetään kuitenkin, että hän opiskeli Oxfordissa, mutta joutui keskeyttämään opintonsa poliittisista syistä, perhe nimittäin kannatti vuoden 1688 Maineikkaassa vallankumouksessa Englannin valtaistuimelta karkotetun skotlantilaisen Stuart-suvun palauttamista valtaan. Stirling vietti pitkähkön ajan Venetsiassa, mutta palasi 1720-luvulla ensin Skotlantiin ja sitten Lontooseen. Lontoossa Stirling julkaisi vuonna 1730 Methodus Differentialis -nimisen kirjan, jossa sarja (1) esiintyy. Melkein samaan aikaan myös toinen Lontoossa vaikuttanut matemaatikko, Abraham De Moivre, julkaisi hyvin samanlaisen tuloksen. Muutamaa vuotta myöhemmin Stirling jätti matematiikan ja siirtyi, niin kuin nyt sanottaisiin, elinkeinoelämän palvelukseen. Hän toimi loppuikänsä kaivosyhtiön johtajana Skotlannissa. Stirling kuoli vuonna 1770.

John Wallis eli lähes sata vuotta aikaisemmin kuin Stirling. Hän syntyi 1616. Wallisin kerrotaan saaneen ensimmäisen kosketuksensa laskentoon vasta 14-vuotiaana, pikkuveljensä laskennon kirjasta. Wallis opiskeli papiksi ja toimi seurakunnissa. Englannin sisällissodan aikana hän kunnostautui salakirjoitusten avaajana - toimi, jossa matemaatikot ovat tuottaneet hyötyä tai vahinkoa ihmiskunnalle (riippuen siitä, kumman kiistapuolen kannalta asioita katsotaan) myöhemmissäkin konflikteissa. Wallisinkin uraa varjosti hiukan Stuartien suku: vaikka hän olikin Englannin sisällissodassa tasavaltalaisten puolella, hän allekirjoitti kirjelmän, jossa paheksuttiin kuningas Kaarle I:n mestausta. Mutta kun Oxfordin geometrian professori Turner tuki avoimesti kuninkaan puoluetta, tasavaltalaishallitus erotti tämän ja nimitti virkaan Wallisin. Wallis olikin sitten professorina aina vuonna 1703 tapahtuneeseen kuolemaansa asti.

Nyt tarkastelun kohteena oleva kaava on julkaistu Wallisin pääteoksessa Arithmetica Infinitorum vuonna 1656. Wallis päätyi kaavaansa rohkean, enemmän viisaan arvauksen kuin matemaattisen todistuksen tunnusmerkit täyttävällä interpolaatiomenetelmällä.

Wallisin kaava

Wallisin kaavan voi näppärästi johtaa osittaisintegrointiin perustuvan kikan avulla. Osittaisintegrointi on sama kuin tulon derivointikaavan lukeminen takaperin. Jos $f$ ja $g$ ovat funktioita, niin

\begin{displaymath}
(fg)'=f'g+g'f.
\end{displaymath}

Koska funktion derivaatan integraalifunktio on - integraalifunktion määritelmän mukaan, alkuperäinen funktio, on

\begin{displaymath}
f(x)g(x)=\int f'(x)g(x)\,dx+\int f(x)g'(x)\,dx
\end{displaymath}

eli

\begin{displaymath}
\int f'(x)g(x)=f(x)g(x)-\int f(x)g'(x)\,dx.
\end{displaymath}

Määrättyyn integraaliin sovitettuna edellinen kaava on
\begin{align*}
&\int_a^b f'(x)g(x)\,dx=\tag{3}\\
&f(b)g(b)-f(a)g(a)-\int_a^b f(x)g'(x)\,dx.
\end{align*}
Olkoon nyt $n\ge 2$, $g(x)=\sin^{n-1}x$ ja $f(x)=-\cos x$. Silloin

\begin{displaymath}
g'(x)=(n-1)\sin^{n-2} x\cos x
\end{displaymath}

ja

\begin{displaymath}
f'(x)=\sin x.
\end{displaymath}

Jos vielä $a=0$ ja $b=\sin\dfrac{\pi}{2}$, niin kaava (3) saa muodon (koska $\sin 0=0=\cos\displaystyle{\pi}$)
\begin{align*}
\int_0^\frac{\pi}{2}\sin^nx\,dx&=(n-1)\int_{0}^\frac{\pi}{2}
\cos...
...-2}x\,dx\\
&=(n-1)\int_0^\frac{\pi}{2}(1-\sin^2x)
\sin^{n-2}x\,dx.
\end{align*}
Tästä on helppo ratkaista

\begin{displaymath}
n\int_0^\frac{\pi}{2}\sin^nx\,dx=(n-1)\int_0^\frac{\pi}{2}
\sin^{n-2}x\,dx
\end{displaymath}

ja

\begin{displaymath}
\int_0^\frac{\pi}{2}\sin^nx\,dx
=\frac{n-1}{n}\int_0^\frac{n}{2}\sin^{n-2}x\,dx.
\end{displaymath}

Merkitään lyhyyden vuoksi

\begin{displaymath}
a_n=\int_0^\frac{\pi}{2}\sin^nx\,dx.
\end{displaymath}

Edellä on osoitettu, että

\begin{displaymath}
a_n=\frac{n-1}{n}a_{n-2},\tag{4}
\end{displaymath}

kun $n\ge 2$. Mutta

\begin{displaymath}
a_0=\int_0^\frac{\pi}{2} 1\,dx
=\frac{\pi}{2}
\end{displaymath}

ja

\begin{displaymath}
a_1=\int_0^\frac{\pi}{2}\sin x\,dx
=-\cos\frac{\pi}{2}+\cos 0=1.
\end{displaymath}

Kun näistä lähdetään liikkeelle, saadaan $a_2=\dfrac{1}{2}\dfrac{\pi}{2}$, $a_3=\dfrac{2}{3}$, $a_4=\dfrac{3}{4}a_2=\dfrac{1\cdot 3}{2\cdot 4}\dfrac{\pi}{2}$, $a_5=\dfrac{2\cdot 4}{3\cdot 5}$ jne. Induktiotodistuksella voi varmistaa, että

\begin{displaymath}
a_{2k}=\frac{1\cdot 3\cdots 2k-1}{2\cdot 4\cdots 2k}\frac{\pi}{2}
\end{displaymath}

ja

\begin{displaymath}
a_{2k+1}
=\frac{2\cdot 4\cdots (2k)}{3\cdot 5\cdots (2k+1)}.
\end{displaymath}

Tekijä $\dfrac{\pi}{2}$ esiintyy jonon $a_n$ joka toisessa termissä. Osamäärästä $\dfrac{a_{2k}}{a_{2k+1}}$ voidaan helposti ratkaista

\begin{displaymath}
\pi=\frac{2^2\cdot 4^2\cdots (2k)^2}{1^2\cdot 3^2\cdots (2k-1)^2}
\cdot \frac{2}{2k+1}\cdot \frac{a_{2k}}{a_{2k+1}}.\tag{5}
\end{displaymath}

Mutta $0<\sin x<1$ kaikilla $x\in\left(0,\,\dfrac{\pi}{2}\right)$. Siis esimerkiksi $\sin^{2k-1}x>\sin^{2k}x>\sin^{2k+1}x$ kaikilla $x\in\left(0,\,\dfrac{\pi}{2}\right)$. Jos integroitavien funktioiden arvot ovat kaikissa integrointialueen osissa samassa suuruusjärjestyksessä, niin funktioiden integraalitkin ovat tässä järjestyksessä. Siis $a_{2k+1}<a_{2k}<a_{2k-1}$. Kun tähän sovitetaan palautuskaava (4), saadaan

\begin{displaymath}
1<\frac{a_{2k}}{a_{2k+1}}=\frac{a_{2k}}{\frac{2k}{2k+1}a_{2k-1}}
<\frac{2k+1}{2k}=1+\frac{1}{2k}.
\end{displaymath}

Nämä epäyhtälöt osoittavat selvästi, että

\begin{displaymath}
\lim_{k\to\infty}\frac{a_{2k}}{a_{2k+1}}=1.
\end{displaymath}

Yhtälöön (5) sovellettuna tämä merkitsee, että

\begin{displaymath}
\pi=\lim_{k\to\infty}\frac{2^2\cdot 4^2\cdots (2k)^2}{1^2\cdot
3^2\cdots (2k-1)^2}\cdot \frac{2}{2k+1}.
\end{displaymath}

Edelleen ei ole ongelma korvata raja-arvossa termi $\dfrac{2}{2k+1}$ termillä $\dfrac{1}{k}$, joten olemme saaneet aikaan Wallisin kaavan

\begin{displaymath}
\pi=\lim_{k\to\infty}\frac{1}{k}\frac{2\cdot 2\cdot 4\cdot
...
...2k\cdot 2k}{1\cdot 1\cdot 3\cdot 3\cdots (2k-1)\cdot
(2k-1)}.
\end{displaymath}

Kaavan osoittajassa oleva peräkkäisten parillisten kokonaislukujen $2,4,\ldots,2k$ tulo on selvästi $2^k\cdot k!$. Kun nimittäjässä oleva peräkkäisten parittomien kokonaislukujen tulo lavennetaan parillisten kokonaislukujen tulolla, saadaan $\dfrac{(2k)!}{2^k\cdot k!}$. Sievennetään Wallisin kaavaa näillä ja otetaan siitä vielä puolittain neliöjuuri. Jäljelle jää

\begin{displaymath}
\sqrt{\pi}=\lim_{k\to\infty}\frac{(k!)^22^{2k}}{(2k)!\sqrt k}.
\tag{6}
\end{displaymath}

Tämä Wallisin kaavan muoto on hyödyllisin Stirlingin kaavan kannalta.

Pieni koukkaus sarjoihin ja eräs epäyhtälö

Päämäärämme, epäyhtälön (2) oikeaksi osoittaminen, vaatii tuekseen epäyhtälön, jonka todistaminen onnistuu yksinkertaisen sarjatempun avulla. Muistutetaan ensin mieleen, että jos jono $(x_k)$ on vähenevä ja sen raja-arvo on $0$, niin sarja $x_1-x_2+x_3-\ldots$ on suppeneva sarja ja sen summa on pienempi kuin $x_1$. Suppeneminen perustuu siihen, että parillisesta määrästä termejä muodostettu osasumma $(x_1-x_2)+(x_3-x_4)+\cdots$ on kasvava jono kun taas parittomasta määrästä termejä muodostettu jono $x_1-((x_2-x_3)+(x_4-x_5)+\cdots)$ vähenee. Toisaalta parillisesta määrästä termejä muodostetut osajonot ovat pienempiä kuin parittomasta määrästä muodostetut. Sarjan summa on lisäksi pienempi kuin sen ensimmäinen termi. Nämä asiat muodostavat Leibnizin vuorottelevia sarjoja koskevan lauseen.

Olkoon nyt $0<x<1$. Geometrisen sarjan summakaavan mukaan on

\begin{displaymath}
\frac{1}{1+x}=1-x+x^2-\cdots.
\end{displaymath}

Nojaudumme nyt siihen vähän koulumatematiikan ulkopuolelle asettuvaan, mutta tuskin yllättävään faktaan, jonka mukaan potenssisarjan määrittelevän funktion voi integroida niin, että sarjan termit erikseen integroidaan. Edellinen relaatio antaa näin ollen aiheen relaatioon

\begin{displaymath}
\ln(1+x)=\int_0^x\frac{dx}{1+x}=x-\frac{1}{2}x^2+\frac{1}{3}x^3
-\cdots,
\end{displaymath}

kun $-1<x\le 1$.

Ja nyt se temppu: lasketaan
\begin{align*}
&\left(\frac{1}{x}+\frac{1}{2}\right)\ln(1+x)\\
&=1-\frac{1}{2}x...
...ac{1}{4}\right)x^2+\left(\frac{1}{6}
-\frac{1}{4}\right)x^3+\cdots.
\end{align*}
Sarjan termien merkki vaihtuu toisesta alkaen ja termit lähestyvät nollaa. Leibnizin lauseen nojalla sarjan summa on siten $>1$. Siis

\begin{displaymath}
\left(\frac{1}{x}+\frac{1}{2}\right)\ln(1+x)>1\tag{7}
\end{displaymath}

kaikilla $0<x<1$. (Kirjoittaja ottaa mielellään vastaan muita epäyhtälön (7) todistuksia.)

Stirlingin kaava

Merkitsemme

\begin{displaymath}
c_n=\frac{n!e^n}{n^n\sqrt n}.
\end{displaymath}

Osoitamme, että jono $(c_n)$ suppenee. Siihen riittää, että $(c_n)$ on vähenevä jono. Mutta

\begin{displaymath}
\frac{c_n}{c_{n+1}}
=\frac{1}{e(n+1)}\frac{(n+1)^{n+1+\frac{...
...er 2}}}
=\frac{1}{e}\left(1+\frac{1}{n}\right)^{n+{1\over 2}}.
\end{displaymath}

Siis

\begin{displaymath}
\ln\frac{c_n}{c_{n+1}}=\left(n+\frac{1}{2}\right)\ln\left(1+
\frac{1}{n}\right)-1.\tag{8}
\end{displaymath}

Mutta kun tähän sovelletaan epäyhtälöä (7) arvolla $x=\dfrac{1}{n}$, saadaan heti $\ln\dfrac{c_n}{c_{n+1}}>0$ eli $c_n>c_{n+1}$. Voimme merkitä $c=\lim_{n\to\infty}c_n.$

Raja-arvon $c$ määrittämiseksi tukeudumme Wallisin kaavaan muodossa (6). Kun huomaamme, että

\begin{displaymath}
c_n^2=\frac{(n!)^2e^{2n}}{n^{2n}n}\quad \text{ja}\quad
c_{2n}=\frac{(2n)!e^{2n}}{(2n)^{2n}\sqrt{2n}},
\end{displaymath}

niin saamme

\begin{displaymath}
\sqrt{\pi}=\lim_{n\to\infty}\frac{c_n^2}{c_{2n}\sqrt2}
=\frac{c^2}{c\sqrt2},\tag{9}
\end{displaymath}

josta voidaan ratkaista haluttu tulos $c=\sqrt{2\pi}$, eli juuri Stirlingin kaava (2).

Mutta vielä yksi varotoimi! Kaavassa (9) tapahtuva raja-arvon siirtäminen lausekkeen sisään, nimittäjäänkin, on sallittua vain, jos raja-arvo $c\neq 0$. Ratkaistuna tietysti $c\neq 0$, mutta jotta ratkaisu on mahdollinen, on jo edeltä tiedettävä, että $c\neq 0$. Käytetään taas yksinkertaista integraaliarviota. Funktion $f$, $f(x)=\dfrac{1}{x}$ kuvaaja on alaspäin kupera. Kuvaajan ja $x$-akselin välin $[a,\,b]$ väliin jäävä pinta-ala on silloin pienempi kuin sellaisen puolisuunnikkaan, jonka kannat ovat $\dfrac{1}{a}$ ja $\dfrac{1}{b}$ ja korkeus $b-a$. Siis
\begin{align*}
\ln\left(1+\frac{1}{n}\right)&=\ln(n+1)-\ln n\\
&=\int_n^{n+1}\frac{dx}{x}<\frac{1}{2}\left(\frac{1}{n}+
\frac{1}{n+1}\right).
\end{align*}
Kaavan (8) mukaan
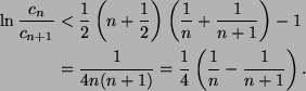
\begin{align*}
\ln\frac{c_n}{c_{n+1}}&<\frac{1}{2}\left(n+\frac{1}{2}\right)
\le...
...ac{1}{4n(n+1)}
=\frac{1}{4}\left(\frac{1}{n}-\frac{1}{n+1}\right).
\end{align*}
Kun edelliset epäyhtälöt arvoilla $n=1,2,\ldots,k-1$ lasketaan puolittain yhteen, niin supistuu paljon, ja jää

\begin{displaymath}
\ln\frac{c_1}{c_k}<\frac{1}{4}\left(1-\frac{1}{k}\right)
<\frac{1}{4}.
\end{displaymath}

Tämän voi kirjoittaa muotoon $c_1<c_ke^\frac{1}{4}$ ja koska $c_1=e$, myös muotoon $c_k>e^\frac{3}{4}>0$. Siis yhtälön (9) kirjoittaminen oli oikeutettua.



Solmu 2/2003
16.5.2003